Pixelogic Weekly #8
Nonogram puzzles for the week of May 25, 2025
Hope everyone had a great week!
Last chance to join the Pixelogic playtest on Steam. I’ve already gotten a few hundred signups and some great feedback.
Answer: How many solvable 5x5 nonogram puzzles are there?
The answer to last week’s poll is 24,976,511 out of 33,554,432 possible 5x5 grids are solvable, or roughly 70%. The most popular choice in the poll was 8,334,124 with 38% of the vote, though 24,976,511 came in second with 24% of the vote.
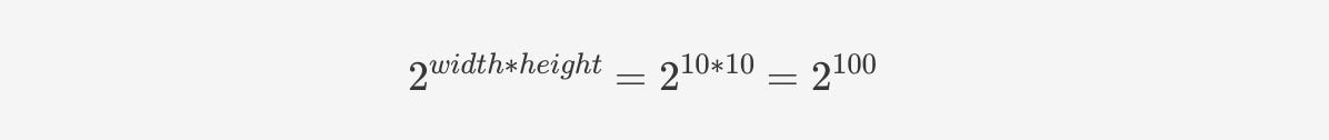
So how many 10x10 puzzles are there? We can use the equation from last week’s newsletter:
That amounts to 1,267,650,600,228,229,401,496,703,205,376 total possible configurations of a 10x10 board. How many of those are solvable? That, I don’t know. It took me roughly an hour to run my nonogram solver across all possible 33 million 5x5 puzzles. Using that same method, it would take me roughly 4,312,663,500,000,000,000 years to find out how many 10x10 boards are solvable.
This Week’s Puzzles
Click the puzzle links below to play this week’s upcoming puzzles:
Mini 15x15 Puzzles
🧩 Doll by Olivia Dahl - May 25, 2025
🧩 sword in a rock by jas - May 26, 2025
🧩 Lemniscate by LEXMAN - May 27, 2025
🧩 Snail by eefster - May 28, 2025
🧩 Kitten by eefster - May 29, 2025
🧩 Grinch face by eefster - May 30, 2025
🧩 The north east line MRT by Evoltomus - May 31, 2025
👇 Weekly 25x25 (1) and Daily 20x20 (7) puzzles below for paid subscribers👇




